Header

Ban biên tập

  • PGS. TS. Nguyễn Văn Bộ - Viện Khoa học Nông nghiệp Việt Nam
  • TS. Trần Minh Tiến - Viện Thổ nhưỡng Nông hóa
  • TS. Bùi Huy Hiền - Hội Khoa học đất
  • TS. Bùi Quang Đãng - Ban Khoa học & HTQT, Viện Khoa học Nông nghiệp Việt Nam
  • ThS. Đỗ Minh Phương -  Viện Quy hoạch và Thiết kế Nông nghiệp
  • ThS. Trần Thị Minh Thu - Viện Thổ nhưỡng Nông hóa


Phân NPK và ưu điểm của phân NPK

Các loại phân NPK và cách dùng

Những điều cần lưu ý khi trộn phân

Cách quy đổi phân đơn thành phân NPK

 

Phân NPK và ưu điểm của phân NPK

 

NPK là loại phân bón hỗn hợp ít nhất có hai thành phần dinh dưỡng trong ba thành phần N, P, K trở lên. Có hai loại: phân tổng hợp và phân phức hợp.
- Phân tổng hợp là các loại phân đã được sản xuất thông qua các phản ứng hoá học để tạo thành một thể phân bón gồm nhiều nguyên tố dinh dưỡng. Phân này còn được gọi là phân phức hợp.
- Phân hỗn hợp là các loại phân tạo được do quá trình trộn lẫn 2 hoặc nhiều loại phân đơn với nhau một cách cơ giới và đều đặn.
Ưu điểm của phân khoáng hỗn hợp so với phân khoáng đơn:
– Giảm được chi phí đóng góp, vận chuyển, tàng trữ và bón phân do chứa 2 nguyên tố dinh dưỡng trở lên và thường có hàm lượng các chất dinh dưỡng cao hơn các loại phân đơn.
– Có tính chất vật lý tốt như: độ hút ẩm thấp, độ rời và độ mịn cao… nên giảm được hao hụt và dễ sử dụng.
– Tăng khả năng thâm nhập đồng thời các chất dinh dưỡng vào cây vì chúng được phân bố hợp lý ở vùng rễ cây. Trong nhiều trường hợp với cùng một lượng các chất dinh dưỡng bón vào đất, phân hỗn hợp cho bội thu năng suất cao hơn so với bón phân đơn.

 

Về đầu trang

home

 

 

 

Các loại phân NPK và cách dùng


Phân tổng hợp cũng như phân hỗn hợp có các tỷ lệ NPK ở các tổ hợp khác nhau được lựa chọn phù hợp với từng loại đất và từng nhóm cây trồng. Nhiều trường hợp trong phân tổng hợp cũng như phân hỗn hợp còn có thêm cả các nguyên tố Mg, Ca, S và các nguyên tố vi lượng khác.
Trên thị trường hiện đang có các loại phân sau đây:
- Loại 2 yếu tố N và P với tỷ lệ NPK: 18:46:0 và 20:20:0.
- Loại 3 yếu tố NPK với tỷ lệ: 20:20:10 và 15:15:15.
- Loại 4 yếu tố N, P, K, Mg với tỷ lệ: 14:9:21:2; 12:12:17:2; v.v..
Các loại phân tổng hợp và hỗn hợp chỉ phát huy hiệu lực tốt khi được bón đúng với yêu cầu của cây và phù hợp với tính chất của các loại đất. Vì vậy, muốn sử dụng có hiệu quả các loại phân này cần nắm được đầy đủ và cụ thể đặc điểm của cây và tính chất của đất.
Trên cơ sở các kết quả nghiên cứu khoa học, hiện nay các xí nghiệp phân bón đã sản xuất ra các loại phân tổng hợp và phân hỗn hợp chuyên dùng cho từng loại cây cụ thể, như phân bón cho cao su, cho cà phê, cho chè, cho rau, cho đậu, v.v...

Phân NP


Loại phân 2 yếu tố này trên thị trường có nhiều thương hiệu khác nhau.

* Phân amophor:
Có tỷ lệ các nguyên tố dinh dưỡng (N, P, K) là: 1:1:0. Thành phần của phân này gồm: 18% N, 18% P2O5.
Phân có dạng viên rời, khô. Phân có khả năng hoà tan hoàn toàn trong nước.
Thường phân này được sản xuất bằng cách trộn supe lân với sunphat amôn.

Phân này được sử dụng để bón trên đất có hàm lượng kali cao như các loại đất phù sa, đất phèn…


* Phân diamophos (DAP):
Phân có tỷ lệ các chất dinh dưỡng (N, P, K) là: 1:2,6:0.
Được sản xuất bằng cách trộn supe lân kép với sunphat amôn, phân có thành phần P2O5 – 40%, N – 18%.

DAP_PM

DAP Phú Mỹ
(Nguồn: http://www.pvn.vn/Pages/detail.aspx?NewsID=a23ff2e2-f360-4f83-84f5-bbb62f800761)


Phân có hàm lượng lân cao, nên sử dụng thích hợp cho các vùng đất phèn, đất bazan.
Diamophos có thể sử dụng để bón cho nhiều loại cây trồng khác nhau. Phân có thể sử dụng để bón lót hoặc bón thúc.
Phân này thường được dùng để bón cho đất có hàm lượng NPK trung bình hoặc các loại đất có N, K2O lớn hơn P2O5. Người ta ít dùng phân này để bón cho đất thiếu kali như đất bạc màu, đất cát nhẹ, đất xám, đất trung tính.
Phân này ít được dùng để bón cho cây lấy củ, bón cho lúa gieo khô…
Phân DAP có đạm, lân dễ tiêu, không làm chua đất.


* Phân hỗn hợp: 20:20:0; 23:23:0; 10:10:0 được sản xuất ra chuyên sử dụng để bón lót vào đất.

 

Về đầu trang

home

 

 

 

Phân NK

* Phân kali nitrat: Dạng phân 2 yếu tố chứa 13% N và 45% K2O.
Phân này được dùng để bón cho đất nghèo kali. Thường được dùng để bón cho cây ăn quả, cây lấy củ.

KNO3

Phân KNO3
(Nguồn: https://www.lazada.vn/products/bo-02-phan-bon-hoa-tan-dat-biet-better-kno3-kich-thich-ra-hoa-tap-trung-chong-rung-hoa-rung-trai-non-200gr-i135950492-s138087020.html)

* Phân hỗn hợp: 30:0:10; 20:0:20; 20:0:10.
Các dạng phân này có chứa NK và một số nguyên tố trung lượng, nhưng không có lân. Các dạng phân này được dùng để bón vào cuối thời kỳ sinh trưởng của cây trồng, vì vào thời kỳ này cây không còn yêu cầu đối với lân.

 

Về đầu trang

home

 

 

 

Phân PK


* Phân PK 0:1:3
Người ta sản xuất phân này bằng cách trộn 55% supe lân với 45% KCl.
Phân được dùng để bón cho đất quá nghèo kali như đất bạc màu, đất cát nhẹ, v.v... Phân cũng được dùng chủ yếu để bón cho các loài cây cần nhiều kali như khoai tây, khoai lang, v.v...

Phoska

Phân Phoska
(Nguồn: http://thuoclanthuyduong.com/phan-bon-la-phoska-0-52-34.html)


* Phân PK 0:1:2 . Được sản xuất bằng cách trộn 65% supe phốt phát với 35% KCl.
* Phân PK 0:1:2 chứa 5,8% P2O5 và 11,75% KCl.
Phân này được dùng để bón cho các loại đất nghèo kali và dùng chủ yếu để bón cho các loại ngũ cốc.

 

Về đầu trang

home

 

 

 

Phân N, P, K


* Phân amsuka : có tỷ lệ NPK là 1: 0,4:0,8.
Phân này được sản xuất bằng cách trộn amôn với supe lân đã trung hòa vào muối KCl.
Phân được dùng để bón cho cây có yêu cầu NPK trung bình, bón ở các loại đất có NPK trung bình.


* Phân nitrophoska: có 2 loại
- Loại có tỷ lệ NPK: 1:0,4:1,3.
Được sản xuất bằng cách trộn các muối nitrat với axit photphoric. Trong phân có chứa: N – 13%, P2O5 – 5,7%, K2O – 17,4%.
Phân này được dùng để bón cho đất thiếu K nghiêm trọng và thường được dùng để bón cho cây lấy củ.
- Loại có tỷ lệ N, P, K: 1:0,3:0,9.
Được sản xuất bằng cách trộn các muối nitrat với axit sunphuric. Trong phân có chứa: N – 13,6%, P2O5 – 3,9%, K2O – 12,4%.
Phân được dùng để bón cho nhiều loại cây trồng và thường bón cho đất có NPK trung bình.


* Phân amphoska:
Có tỷ lệ NPK: 1:0,1:0,8.
Trong phân có chứa N – 17%, P2O5 – 7,4%, K2O – 14,1%.
Phân này được dùng để bón cho đất trung tính và thường dùng để bón cho cây lấy củ.


* Phân viên NPK Văn Điển:

Có tỷ lệ NPK: 5:10:3
Trong phân chứa NPK, ngoài ra còn có MgO – 6,7%, SiO2 – 10 – 11%, CaO – 13 – 14%.
Phân này thích hợp cho nhiều loại cây trồng trên nhiều loại đất khác nhau. Cách bón và liều lượng bón được dùng như đối với phân lân nung chảy. Đối với cây trồng cạn cần bón xa hạt, xa gốc cây. Sau khi bón phân cần lấp đất phủ kín phân.

NPK

NPK Sông Gianh


* Phân hỗn hợp NPK 3 màu:

Do nhà máy phân bón Bình Điền II sản xuất. có các dạng:
15:15:15 20:20:15 15:10:15
16:16:8 14:8:6 15:15:6

NPK2

Phân NPK Bình Điền


Tuỳ theo yêu cầu của cây và đặc tính của đất, người nông dân có thể mua loại phân thích hợp để bón.
* Phân tổng hợp NPK:
Do nhà máy phân bón Đồng Nai sản xuất
Có các dạng:
16:16:8 14:8:6 10:10:5 15:15:20

 

Về đầu trang

home

 

 

 

Những điều cần lưu ý khi trộn phân

Có những loại phân trộn được với nhau và khi bón cho cây các nguyên tố dinh dưỡng trong hỗn hợp đều phát huy được tác dụng tốt. Tuy vậy, có những loại phân không trộn lẫn với nhau được, bởi vì khi trộn, loại phân này có thể làm mất hoặc giảm các nguyên tố dinh dưỡng có ở trong loại phân kia hoặc tạo thành các chất có hại cho cây, làm xấu đất.
Tuỳ theo yêu cầu của cây và đặc tính của đất, người nôi dân có thể mua loại phân thích hợp để bón.
- Phân chứa amôn như sunphat amôn, urê, clorua amôn nitrat amôn không được trộn với phân có phản ứng kiềm 1 vôi, phân lân Vãn Điển, bột photphorit, tro bếp. Vì nếu trộn loại phân này với nhau sẽ làm mất đạm do bay hơi NH3.
- Phân lân dễ hoà tan ưong nước như supe lân, DAP không được trộn với vôi.
- Phân dễ tan, dễ hút ẩm, vón cục như nitrat, urê, muối chỉ được trộn trước khi dùng.
- Supe phốtphat có thể giải phóng axit của một số loại phân như nitrat, tạo chất làm hỏng bao túi đựng cho nên cần chú ý khi vận chuyển.


Bảng khả năng trộn lẫn các loại phân

Loại phân

Sunphátđạm, clorua đạm, phốtphát đạm

Nitrat đạm

Đạm urê

Supe lân

Apatit phos-phorit

Sunphat đạm, clorua đạm;, phốtphát đạm

+

+

+

-

-

Nitrat đạm

+

+

-

-

-

Urê

+

-

+

+

-

Supe lân

-

-

+

+

-

Apatit. photphorit

-

-

-

-

Tecmôphotphát

-

-

-

-

Clorua kali

+

-

-

-

-

Sunphát kali

0

0

0

0

-

DAP

0

0

0

+

+

Vôi, tro

0

0

-

0

0

Phân chuồng

0

0

-

+

+

 

Loại phân

Técmô phốt-phát

Clorua kali

Sun-phát kali

DAP

Vôi, tro

Phân chuồng

Sunphát đạm, clorua đạm, phốtphát đạm

-

+

0

0

0

0

Nitrat đạm

-

-

0

0

0

0

Urê

-

0

0

-

-

Supe lận

-

-

0

+

0

+

Apatit, photphorit

-

-

-

+

0

+

Tecmôphôtphát

+

-

-

-

0

0

Clorua kali

-

+

-

+

-

+

Sunphat kali

-

-

+

0

0

+

DAP

-

+

0

+

0

+

Vôi, tro

0

-

0

0

+

+

Phân chuồng

0

+

+

+

+

+


Ghi chú: Không được trộn 0
Trộn xong bón ngay -
Trộn được +

(Cẩm nang phân bón – GS.TS. Trần Hồng Dật – nxb Hà Nội, 2002)

 

 

Về đầu trang

home

 

 

Cách quy đổi phân đơn thành phân NPK

 (Nguồn: Giáo trình Công nghệ sản xuất phân bón vô cơ -  La Văn Bình, Trần Thị Hiền, nxb Bách Khoa Hà Nội, 2007, trang 134-136)


Để tính tỷ lệ N: P2O5: K2O trong phân hỗn hợp NPK có thể dùng phương pháp hình học trên giản đồ tam giác với 3 đỉnh là K2O, P2O5 và N hay theo phương pháp giải tích dựa trên các phương trình cân bằng chất.
Giả thiết tỷ lệ khối lượng N: P2O5: K2O = A: B: C
Trong đó A, B, C là khối lượng các phân chứa đạm, phốtpho và kali.
Nếu gọi x, y, z - lượng phân bón chứa đạm, chứa lân, kali.
Giả thiết dùng phân đạm (NH4)2SO4 chứa 21% N.
Dùng phân kali chứa 42% K2O
Dùng phân amôphốt chứa 14% P2O5, 2,5% N.
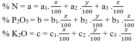
Gọi a — phần trăm đạm trong phân hỗn hợp NPK.
b — phần trăm P2O5 trong phân hỗn hợp NPK.
c — phần trăm K2O trong phân hỗn hợp NPK.
Vậy thành phần các chất dinh dưỡng trong phân trộn NPK như sau:
ct1

 

 

 

Trong đó:         
ai - Phần trăm đạm trong các loại phân đem trộn.
bj — Phần trăm lân trong các loại phân đem trộn.
ck — Phần trăm kali trong các loại phân đem trộn.
Vậy ta thay các giá trị dinh dưỡng trong từng loại phân đem trộn ta có:

ct2     

 

 

 

Lập phương trình cân bằng chất của các chất dinh dưỡng trong phân trộn
a = 0,21x + 0,025y      (1)
b = 0,14y (2)
c = 0,42z (3)
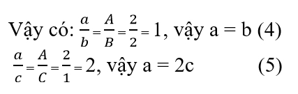
Nếu cần phân trộn có thành phần N: P2O5: K2O với tỷ lệ thành phần dinh dưỡng:
N = 2; P2O5 = 2; K2O = 1 thì
N: P2O5: K2O = 2: 2: 1 = A: B: C

ct

 

 

 

Từ các số liệu trên ta có 6 phương trình và 6 ẩn số là x, y, z, a, b, c như sau:
a = 0,21X + 0,025y      (6)
b = 0,14y (2)
c = 0,42z (3)
x + y + z = 100  (4)
a = b
a = 2c
Giải hệ các phương trình này rút ra:
X = 31,92; y = 58,36; z = 9,72; a = 8,16; b = 8,16; c = 4,08
Như vậy trong phân hỗn hợp với tỷ lệ 2: 2: 1 chứa 8,16% N ; 8,16% P2O5 và 4,08 % K2O.
Vậy ứng 100 kg phân hỗn hợp với tỷ lệ như trên cần phải trộn: 31,92kg (NH4)2SO4  58,30 kg supe amôphốt và 9,72 kg KC1. Nếu phân hỗn hợp với các tỷ lệ khác khác nhau về dinh dưỡng cũng tính tương tự.


 

Về đầu trang

home

 

 

 

 

 

 

 

Hội Hợp tác Khoa học Nông thôn Việt Nam – Hàn Quốc
Hội Khoa học phát triển nông thôn Việt Nam

Khu đô thị Nam An Khánh - An Khánh - Hoài Đức - Hà Nội